plot_histogram(mariokart) # aus Paket `DataExplorer`
November 8, 2023
Entfernen Sie alle Ausreißer im Datensatz mariokart!
Hinweise:
Wir verschaffen uns einen Überblick über die Verteilungen:
Wie man sieht gibt es einige Ausreißer, z.B. bei ship_pr und total_pr.
Leider gibt standardize kein vernünftiges numerisches Objekt zurück, so dass wir mit as.numeric die Daten noch zur Räson rufen müssen.
Wie man sieht, ändert sich die Verteilungsform nicht durch die z-Transformation (oder durch irgendeine lineare Transformation):
Jetzt sind die Daten deutlich weniger extrem.
Categories:
---
exname: ausreisser1
expoints: 1
extype: string
exsolution: NA
categories:
- eda
- datawrangling
- tidyverse
- ausreisser
- string
date: '2023-11-08'
slug: ausreisser1
title: ausreisser1
---
# Aufgabe
Entfernen Sie alle Ausreißer im Datensatz `mariokart`!
Hinweise:
- Orientieren Sie sich im Übrigen an den [allgemeinen Hinweisen des Datenwerks](https://datenwerk.netlify.app/hinweise).
- Definieren Sie "Ausreißer" als Werte, die mehr als 3SD vom Mittelwert entfernt sind.
</br>
</br>
</br>
</br>
</br>
</br>
</br>
</br>
</br>
</br>
# Lösung
## Setup
```{r echo = FALSE, message=FALSE}
library(tidyverse)
library(DataExplorer) # Data vis.
library(easystats) # Stats made easy
data(mariokart, package = "openintro")
```
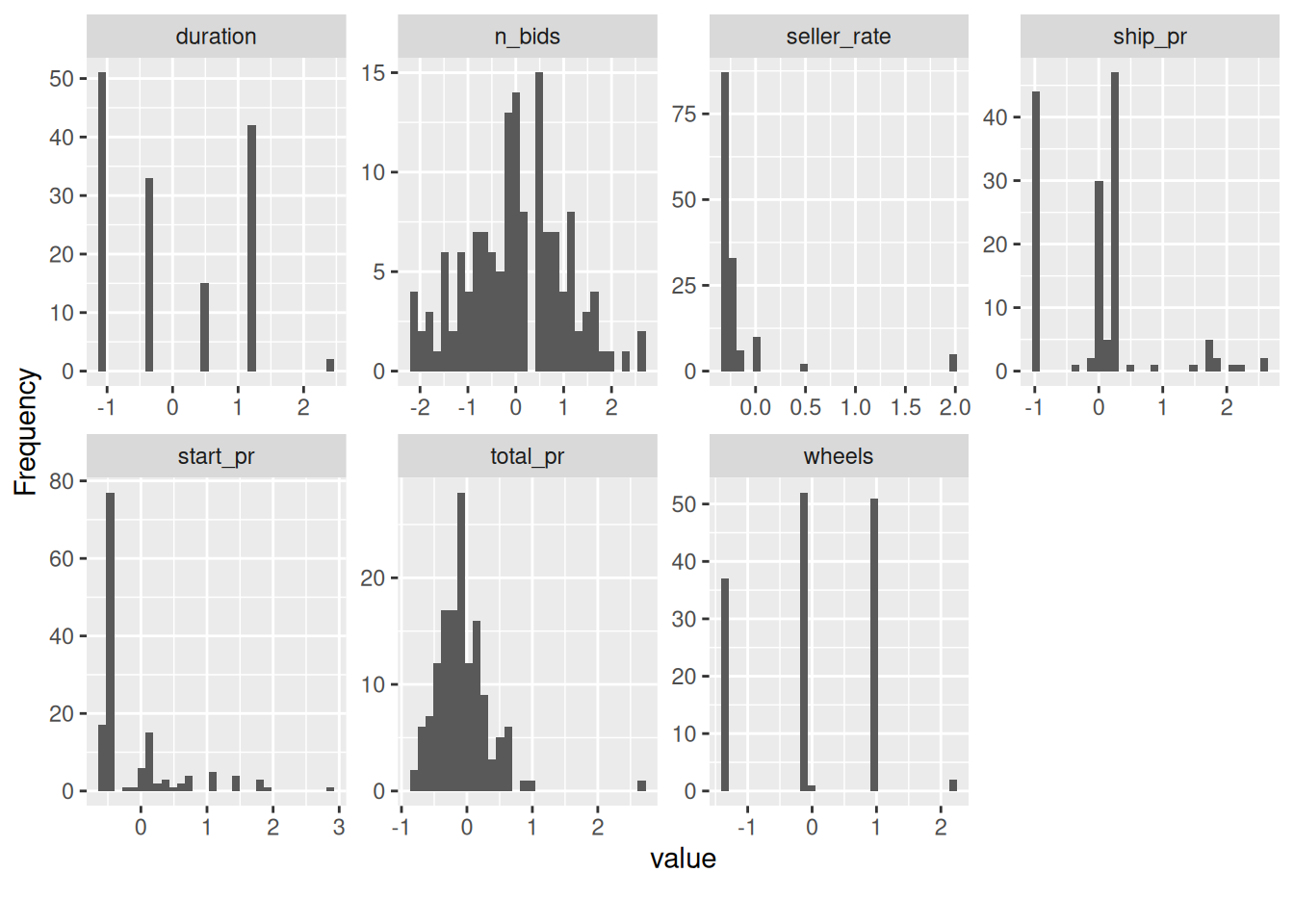
## Überblick
Wir verschaffen uns einen Überblick über die Verteilungen:
```{r}
plot_histogram(mariokart) # aus Paket `DataExplorer`
```
Wie man sieht gibt es einige Ausreißer, z.B. bei `ship_pr` und `total_pr`.
## Daten aufbereiten mit z-Transformation
```{r}
mariokart2 <-
mariokart %>%
select(-id) %>%
mutate(across( # "across" wiederholt die Funktionen ".fns" über alle Spalten ".cols"
.cols = where(is.numeric),
.fns = ~ as.numeric(standardize(.x))))
```
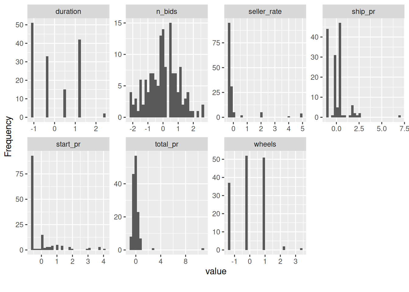
Leider gibt `standardize` kein vernünftiges numerisches Objekt zurück,
so dass wir mit `as.numeric` die Daten noch zur Räson rufen müssen.
Wie man sieht, ändert sich die Verteilungsform *nicht* durch die z-Transformation (oder durch irgendeine lineare Transformation):
```{r}
plot_histogram(mariokart2)
```
## Extremwerte durch MW ersetzen
```{r}
mariokart3 <-
mariokart2 %>%
mutate(across(
.cols = where(is.numeric),
.fns = ~ case_when(abs(.x) <= 3 ~ .x,
abs(.x) > 3 ~ mean(.x))
))
```
```{r}
plot_histogram(mariokart3)
```
Jetzt sind die Daten deutlich weniger extrem.
---
Categories:
- eda
- datawrangling
- tidyverse
- ausreisser
- string