
hintertuer
Aufgabe
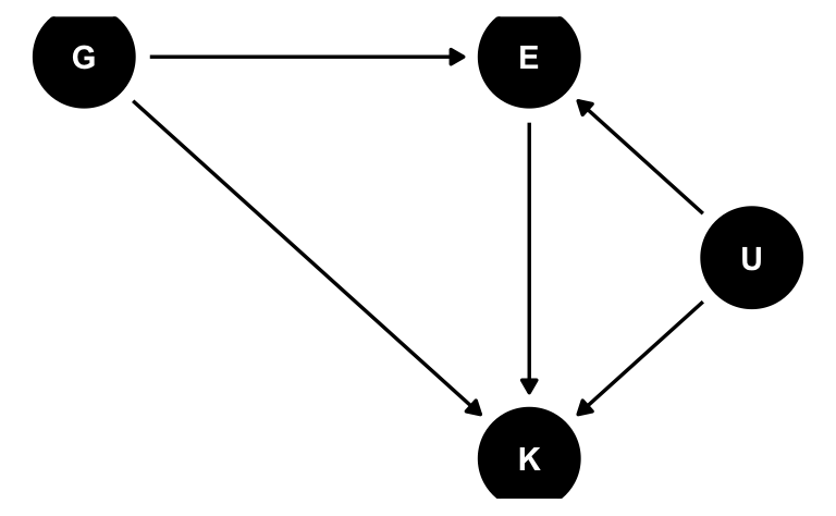
Wir wollen hier den (kausalen) Einfluss der Eltern E
und Großeltern G
auf den Bildungserfolg der Kinder K
untersuchen.
Wir nehmen folgende Effekte an:
- indirekter Effekt von
G
aufK
: \(G \rightarrow E \rightarrow K\) - direkter Effekt von
E
aufK
: \(E \rightarrow K\) - direkter Effekt von
G
aufK
: \(G \rightarrow K\)
Wir sind v.a. interessiert an \(G \rightarrow K\), dem direkten kausalen Effekt von Großeltern auf ihre Enkel, s. Figure 1, \(G \rightarrow K\).

Aufgabe: Geben Sie das minimale Adjustierungsset an, um den direkten kausalen Effekt von G
auf K
zu identifizieren.
Hinweise:
- Beachten Sie die Standardhinweise des Datenwerks.
Lösung
Es ist keine Adjustierung nötig, um nicht-kausale Pfade zu schließen. Alle nicht-kausalen Pfade sind bereits geschlossen.
Ist man am direkten Effekt von G
auf K
interessiert, so muss man folgende Variablen kontrollieren:
- E und U (beide)
Falls man U
nicht kontrollieren kann (was der Namen U
andeutet), so ist der gesuchte kausale Effekt nicht idenfizierbar.